Skip to main content
FAQs
Complain
Problems
English
नेपाली
Search form
Search
X
श्रम संसार पाेर्ट
ल ">
ट्रोल फ्री न. 18105000355
श्रम संसार पाेर्ट
ल
info.neelakanthamun@gmail.com
010-520568
नीलकण्ठ नगरपालिका
नगर कार्यपालिकाको कार्यालय
धादिङ, बागमती प्रदेश, नेपाल
English
नेपाली
Search form
Search
गृहपृष्ठ
परिचय
जनप्रतिनिधि
कर्मचारी विवरण
संक्षिप्त परिचय
संगठनात्मक स्वरुप
नगर प्रोफाइल
वार्ड /स्वास्थ्य -प्रोफाइल
कार्यक्रम तथा परियोजना
बजेट तथा कार्यक्रम
योजना तथा परियोजना
प्रतिवेदन
वार्षिक प्रगति प्रतिवेदन
चौमासिक प्रगति प्रतिवेदन
लेखा परीक्षण प्रतिवेदन
अनुगमन प्रतिवेदन
सार्वजनिक सुनुवाई
सार्वजनिक परीक्षण
सामाजिक परिक्षण
प्रकाशन
विधुतीय शुसासन सेवा
घटना दर्ता
सामाजिक सुरक्षा
नागरिक वडापत्र
निवेदनको ढाँचा
Bipad Portal
सूचना तथा जानकारी
सूचना तथा समाचार
सार्वजनिक खरिद/बोलपत्र सूचना
ऐन कानुन निर्देशिका
कर तथा शुल्कहरु
निर्णयहरु
ग्यालरी
मोबाईल एप
गुनासो कक्ष
सम्पर्क
समाचार
समाजसेवी तथा बाल मनोविज्ञको रुपमा सुचिकृत हुन निवेदन पेश गर्ने सम्वन्धी सूचना ॥
दुग्ध उत्पादक सहकारी संस्थाको लागि प्रस्ताव आव्हानको सूचना ।
प्रस्ताव आव्हानको सूचना -दोस्रो पटक प्रकाशन मिति २०८२-०९-०८ (गाई भैसी तथा बाख्रापालन संग सम्वन्धीत )
समाजसेवी तथा बाल मनोविज्ञको रुपमा सुचिकृत हुन निवेदन पेश गर्ने सम्वन्धी सूचना ।
वालमैत्री स्थानीय शासन सम्वन्धी आंचारसहिंता २०८२ ।
CBR को लागि दोस्रो पटक -संस्था छनोट सम्वन्धी सूचना ।
राष्ट्रिय फल सुन्तला विशेष कार्यक्रम सन्चालन सम्वन्धी सूचना ।
व्यवसायिक मौरी प्रवर्दन कार्यक्रम सञ्चालन सम्वन्धी सूचना ।
बोलपत्र स्वीकृत गर्ने आशयको सूचना ।
कृषि उपज प्रशोधन केन्द्र सञ्चालन सम्वन्धी आशयको सूचना
You are here
Home
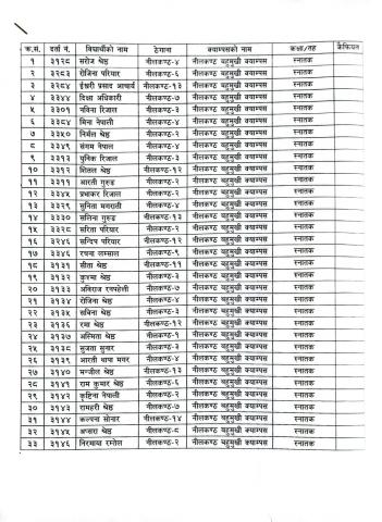
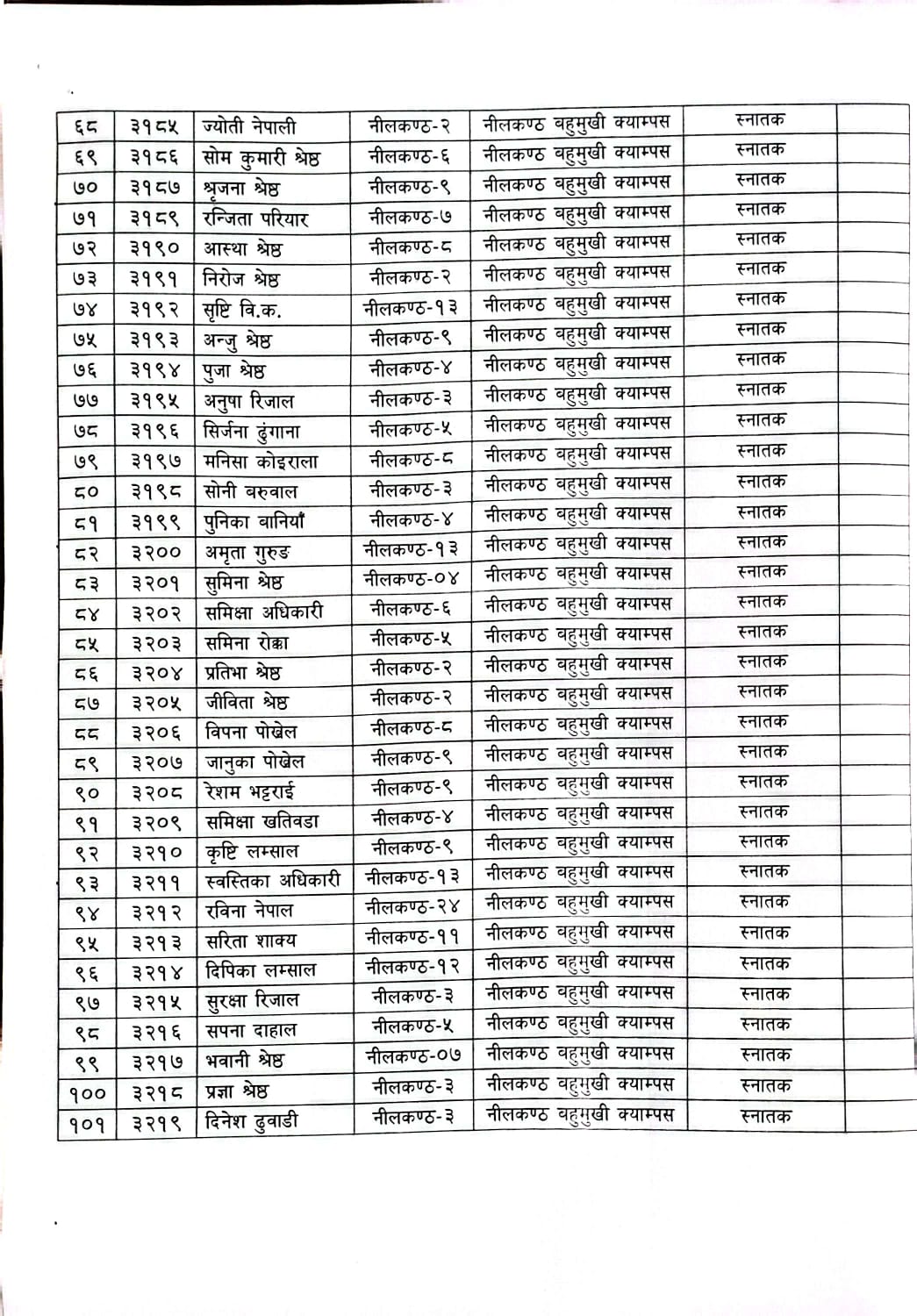
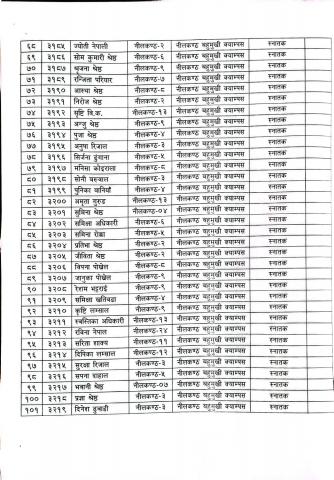
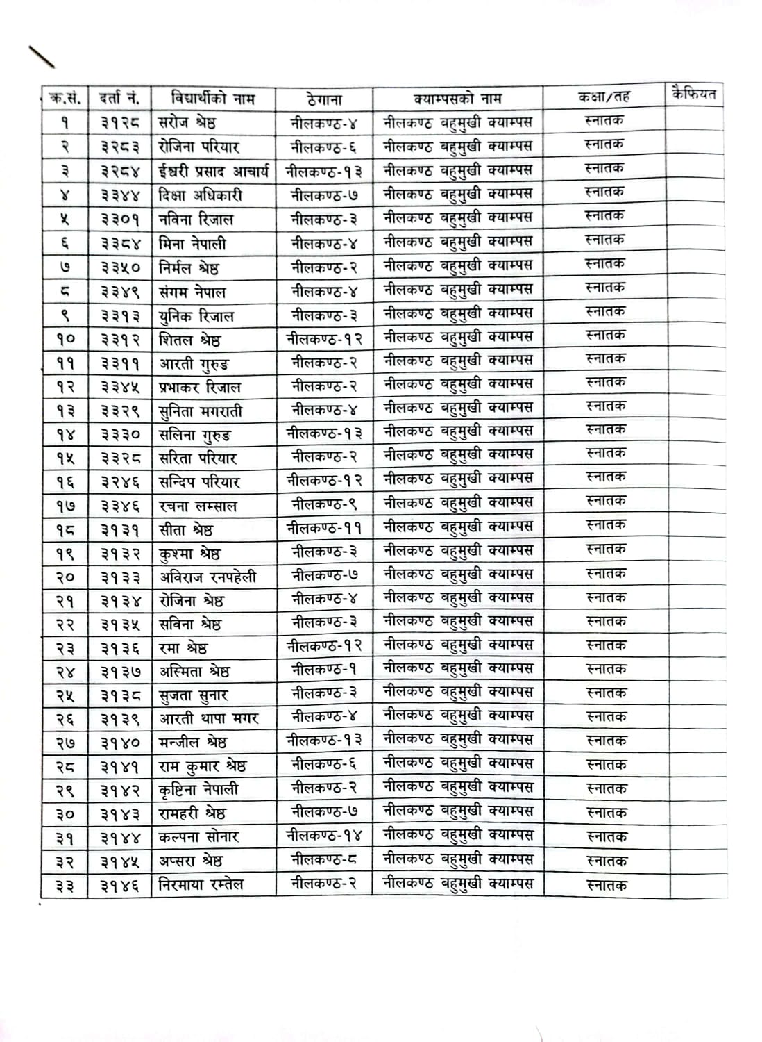
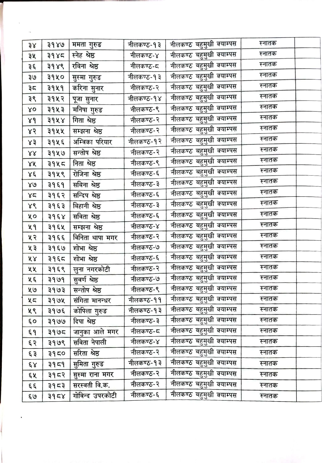
» छात्रा वृत्ति वितरण सम्वन्धी सूचना ।
छात्रा वृत्ति वितरण सम्वन्धी सूचना ।
Submitted on:
Thu, 11/27/2025 - 14:29
बजेट तथा कार्यक्रम
आ.व.२०८२.८३ को नीति, योजना तथा कार्यक्रम
१७ आै नगर सभाकाे वजेट निति तथा कार्यक्रम -२०८२
छैटौ नगर सभाको संशोधित नीति कार्यक्रम तथा निर्णयहरु २०८१-२०८२
नीति, योजना तथा कार्यक्रम -रातो किताब २०८१.८२
बजेट
अन्य
योजना तथा परियोजना
बोलपत्र स्विकृत गर्ने आशय को पत्र
योजना सम्झौता गर्ने तथा भुक्तानी लिने हदम्याद सम्बन्धमा
निवेदन ढाचा
अन्य
सार्वजनिक खरीद / बोलपत्र सूचना
बोलपत्र स्वीकृत गर्ने आशयको सूचना ।
Invitation for bids
आर्थिक प्रस्ताव खोल्ने बारेको सूचना ।
अन्य
विधुतीय शुसासन सेवा
सामाजिक सुरक्षा पाउने व्यक्तिहरूको विवरण १ -2080
बोलपत्र दस्तुर जम्मा गर्ने राजश्व भौचर नमुना
कर तथा शुल्कहरु २०७५/७६
नागरिक बडापत्र
अनलाइन घटना दर्ता लिंक
निबेदनको ढाँचा
फेसबुक पेज
ट्विटर पेज
Tweets by neelakanthamun
कार्यालय रहेको स्थान
जनमत
तपाईलाई हाम्रो नगरपालिकाको वेबसाइट कस्तो लाग्यो ?
Choices
धेरै राम्रो
राम्रो
ठिकै
Older polls
Results